希土類磁石(ネオジム(ネオジウム)磁石、サマコバ磁石)、フェライト磁石、アルニコ磁石、など磁石マグネット製品の特注製作・在庫販売

磁石・磁気の用語辞典(用語解説)
用語辞典一覧 > ヒステリシス損
用語検索:

【ヒステリシス損】

鉄損(Iron loss)、ヒステリシス損(Hysteresis loss)、渦電流損(Eddy current loss)

◇鉄損

「鉄損(てつそん、てっそん)は磁性材料の鉄心(コア)にコイルを巻き、交流で磁化した時に失われる電気エネルギーである。コイルの導線の抵抗によって失われる電気エネルギーである銅損(どうそん)と合わせて、電動機や発電機、変圧器などの電気機械の効率を低下させる。」

*鉄損はヒステリシス損と渦電流損の和で表される。

◇ヒステリシス損

下図はヒステリシス曲線(磁気履歴曲線)の例である。

ヒステリシス損(ひすてりしすそん)は鉄心の磁区が交番磁界によって磁界の向きを変えるときの損失である。次のスタインメッツの実験式で表される。

Ph: ヒステリシス損

f : 周波数

Bm: 最大磁束密度

kh: 比例定数

鉄心の最大磁束密度は次式のような関係がある。

Bm: 最大磁束密度

f : 周波数

A : 鉄心の断面積

k : 比例定数

E : 電圧

2.の関係を1.に代入して

また、この損失はヒステリシス曲線で表される。環状になることからヒステリシスループとも言い、ヒステリシス損の大きさはこの輪に囲まれた部分の面積に比例する。

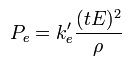
◇渦電流損

渦電流損(うずでんりゅうそん)は、鉄心の中に生じる渦電流によって生じる。高周波になるほど渦電流損の比率が大きくなる。

Pe: 渦電流損

t : 鉄板の厚さ

f : 周波数

Bm: 最大磁束密度

ρ: 磁性体の抵抗率

ke: 比例定数

1.の関係を上式に代入して

渦電流を流れにくくするために、透磁率が高いが、導電率の低い材料を使ったり、また渦電流の大きさは板厚の2乗に比例することから、両面に絶縁加工を施した薄い材料を重ねて使うなどの対策がとられる。